客服信息:19139051760(微信同号)
首页
找答案
注册
登录
网站首页
名词解释
全部试题
平台查询
所有科目
成人高考报名
当前位置:
首页
>
青书学堂
>
佳木斯大学语言治疗学
>
详细
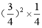
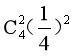
某人连续向一目标射击,每次命中目标的概率为
,他连续射击直到命中为止,则射击次数为3的概率是( )
·
·
·
·
答案是:
单选题
·
出自
青书学堂
>
佳木斯大学语言治疗学
更多答案联系客服:19139051760
本题添加时间:2024/3/27 12:10:00
业余时间拿学历:
统考入学(成人高考)
黑龙江成人高考(学历提升)报名入口
注册成会员
您可能感兴趣的试题
∴
若
设
已知
已知随机变量
具体学校专业科目
黑龙江大学
哈尔滨理工大学
东北农业大学
哈尔滨医科大学
黑龙江中医药大学
哈尔滨师范大学
哈尔滨商业大学
黑龙江科技大学
黑龙江工程学院
哈尔滨学院
哈尔滨金融学院
哈尔滨体育学院
黑龙江外国语学院
黑龙江东方学院
哈尔滨剑桥学院
哈尔滨华德学院
哈尔滨工业大学
哈尔滨工程大学
黑龙江财经学院
哈尔滨石油学院
业余时间拿学历:
成人高考报名入口
国家开放大学答案
联大系统答案
青书学堂答案
柠檬文才答案
学起plus弘成