• 客服信息:19139051760(微信同号)
  • 首页
  • 找答案
  • 注册
  • 登录
  • 网站首页
  • 名词解释
  • 全部试题
  • 平台查询
  • 所有科目
  • 成人高考报名
当前位置: 首页 >  青书学堂  > 佳木斯大学语言治疗学  > 详细

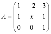
设的特征值为1,2,3,则( )
·-1
·-2
·3
·4

答案是:

单选题
·4
出自  青书学堂  >  佳木斯大学语言治疗学

更多答案联系客服:19139051760
本题添加时间:2024/3/27 12:09:00

业余时间拿学历:

统考入学(成人高考)
黑龙江成人高考(学历提升)报名入口

注册成会员
您可能感兴趣的试题
∴已知随机变量已知某品牌汽车将其存在质量隐患的某型号汽车采取“召回”,该公司是在履行( )。
·质量担保义务
·保障安全义务
·提供真实信息义务
·出具凭证义务
∴债权人应当自提存之日起( )内到提存机关领取提存物。逾期不领取的,提存物扣除提存费用后归国家所有。
·1年
·2年
·3年
·5年

具体学校专业科目

    黑龙江大学
    哈尔滨理工大学
    东北农业大学
    哈尔滨医科大学
    黑龙江中医药大学
    哈尔滨师范大学
    哈尔滨商业大学
    黑龙江科技大学
    黑龙江工程学院
    哈尔滨学院
    哈尔滨金融学院
    哈尔滨体育学院
    黑龙江外国语学院
    黑龙江东方学院
    哈尔滨剑桥学院
    哈尔滨华德学院
    哈尔滨工业大学
    哈尔滨工程大学
    黑龙江财经学院
    哈尔滨石油学院



业余时间拿学历:
成人高考报名入口
国家开放大学答案
联大系统答案
青书学堂答案
柠檬文才答案
学起plus弘成